• Предмет: Алгебра
  • Автор: prassatrassa
  • Вопрос задан 3 года назад

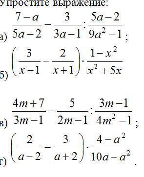
Упростите выражение:

Приложения:

Ответы

Ответ дал: No10
1

Ответ:

А)-2

Б)- 1

    x

В)-2

Г)- 1

    a

Объяснение:

Вас заинтересует