• Предмет: Математика
  • Автор: toxaaubakirovv
  • Вопрос задан 3 года назад

помогите пожалуйста, очень надо​

Приложения:

toxaaubakirovv: не по Лопиталю, а простым преобладанием
toxaaubakirovv: преоброзаванием

Ответы

Ответ дал: kirichekov
1

Ответ:

= 32/3

Пошаговое объяснение:

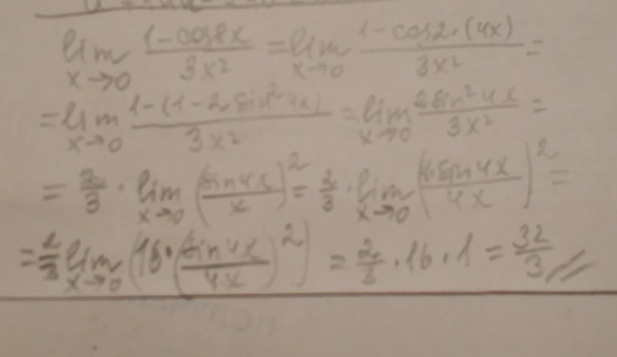
решение во вложении

Приложения:
Вас заинтересует