Ответы
Ответ дал:
1
Объяснение:
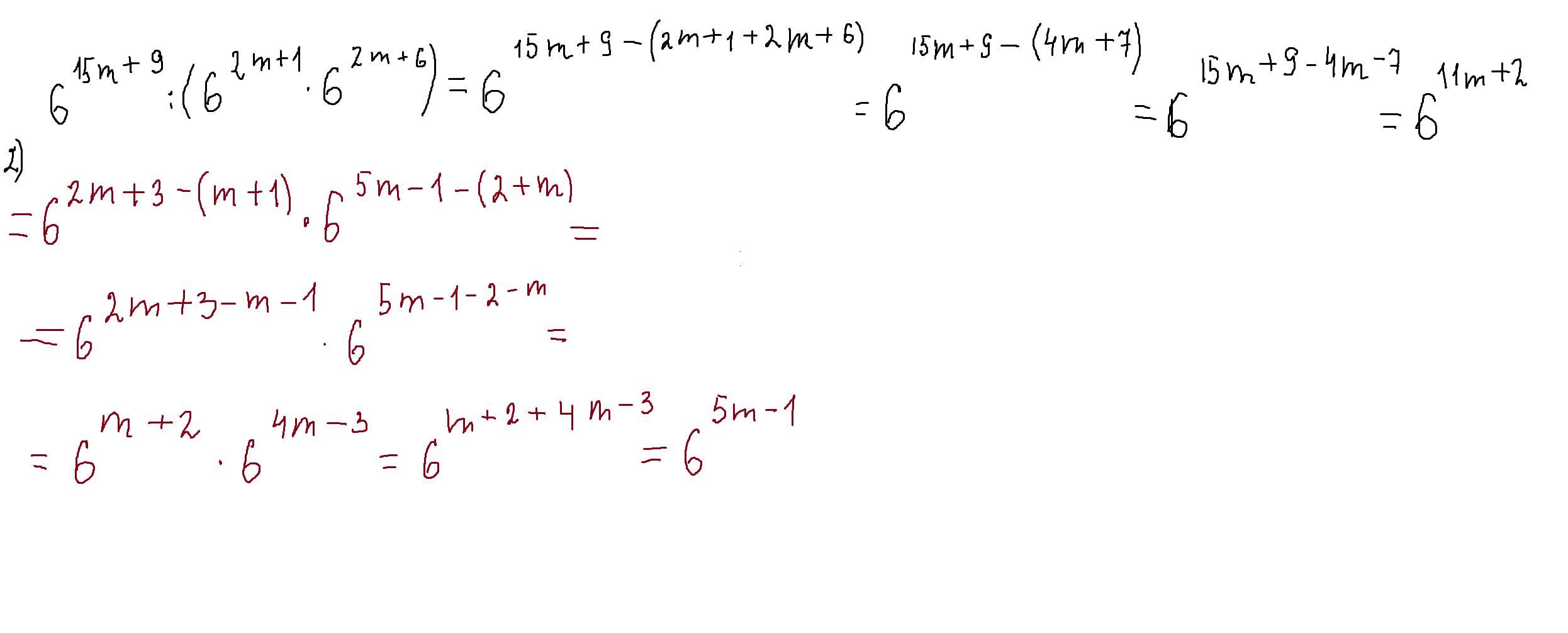
1)
2)
Ответ дал:
1
Ответ:
Объяснение:
при умножении степеней с одинаковым основанием показатели складываются,а при делении-вычитаются
Приложения:

Вас заинтересует
2 года назад
2 года назад
2 года назад
2 года назад
7 лет назад
7 лет назад
9 лет назад