• Предмет: Математика
  • Автор: iampolina2000
  • Вопрос задан 3 года назад

Срочно помогите!!!
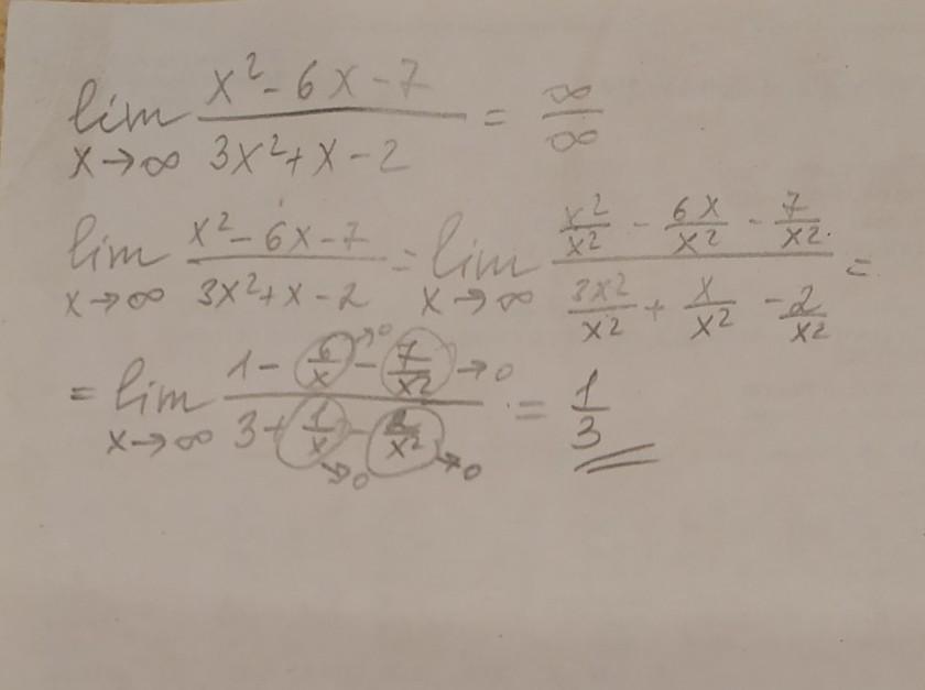
Найти предел функции.

Приложения:

Ответы

Ответ дал: kirichekov
1

Ответ:

= 1/3

Пошаговое объяснение:

решение во вложении

Приложения:
Вас заинтересует