• Предмет: Математика
  • Автор: azazazazazzazazazala
  • Вопрос задан 3 года назад

Помогите с решением​

Приложения:

AlexandrMor: проведи от центра до точки касания в верх прямую потом от углов нижних к точке сосания получится 2 прямоугольных треугольника и от этого и иди дальше
Аноним: чего сосания?
Аноним: может там другое слово

Ответы

Ответ дал: parus77
2

Ответ:

отв.А 72 м²

Пошаговое объяснение:

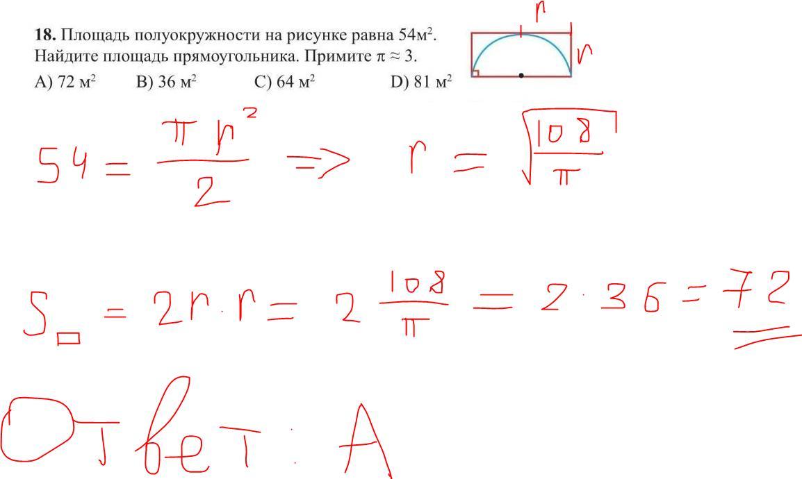
S=πr²  это  площадь круга.       Площадь  полукруга   S:2=54 м²  найдем площадь круга     54*2=108 м²         из формулы площади круга найдем  радиус  r²=S:π=108:3= 36       тогда r=√36=6 м  

а диаметр d=2*6=12 м.

Мы получили,что у прямоугольника одна сторона равна радиусу или 6 м,а вторая-диаметру -12 м.Найдем площадь прямоугольника

S=ab=6*12=72м²


azazazazazzazazazala: Спасибо огромное!!)
parus77: пожалуйста
Ответ дал: onlytester01
2

Есть вопросы по решению?                                                                                                                                

Приложения:
Вас заинтересует