Ответы
Ответ дал:
0
Ответ:
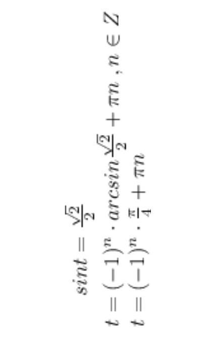
воооооот
Объяснение:
Приложения:

Zhardem34:
почему ты попусто забрал 50 баллов ????
Вас заинтересует
2 года назад
2 года назад
2 года назад
7 лет назад
7 лет назад
9 лет назад