• Предмет: Алгебра
  • Автор: anna220823
  • Вопрос задан 3 года назад

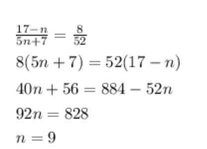
Укажи номер члена последовательности yn=17−n/5n+8, равного 11/38.

Ответы

Ответ дал: ilonatovchenko
1

Объяснение:

вот так просто !!!!!!!!!!!!!!!

Приложения:
Вас заинтересует