• Предмет: Алгебра
  • Автор: levtenkoff
  • Вопрос задан 3 года назад

помогите пожалуйста, Алгебра​

Приложения:

Ответы

Ответ дал: flash454524
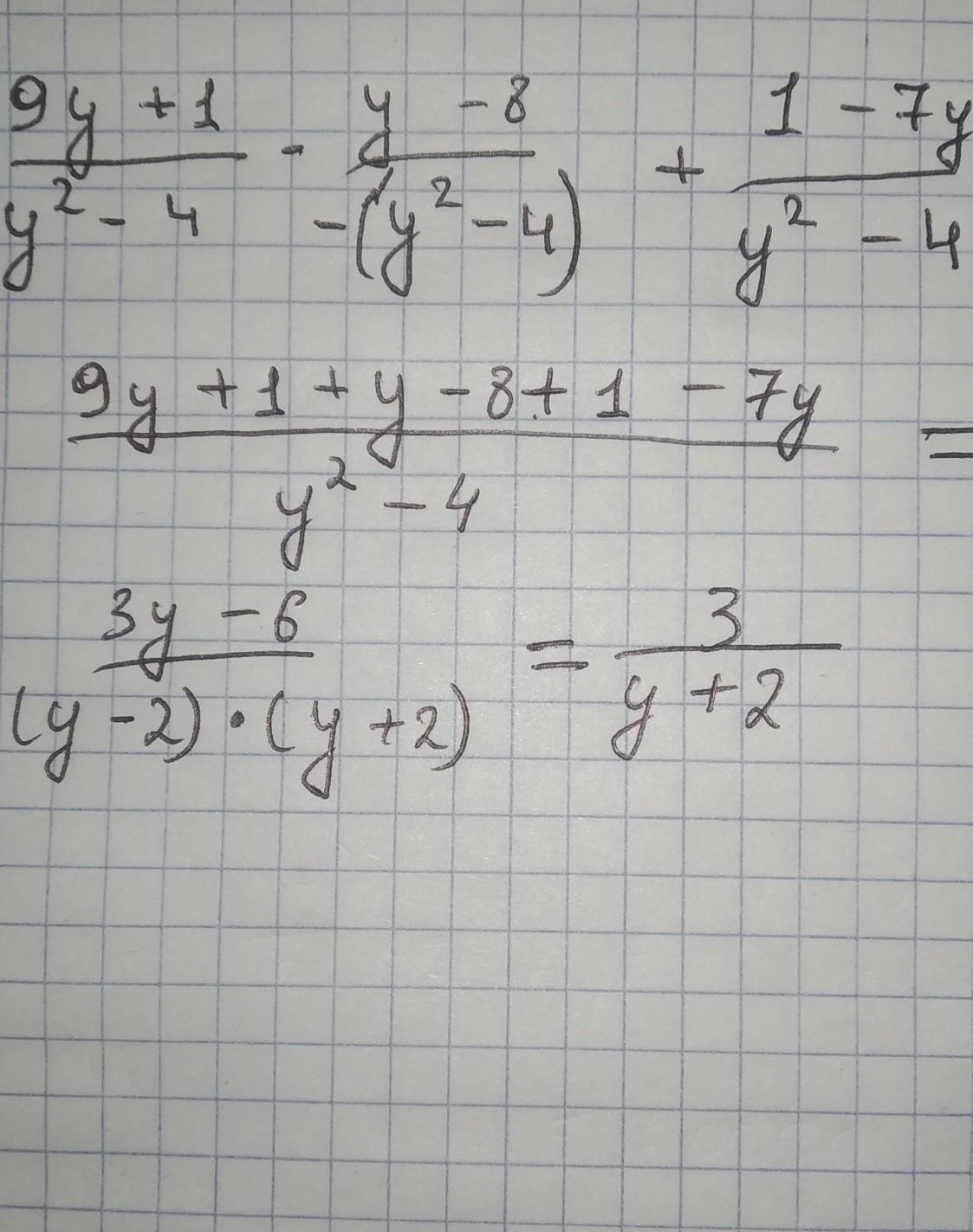
1

Ответ:

решение в фото

Объяснение:

надеюсь помог

Приложения:
Вас заинтересует