• Предмет: Алгебра
  • Автор: Alletikin
  • Вопрос задан 3 года назад

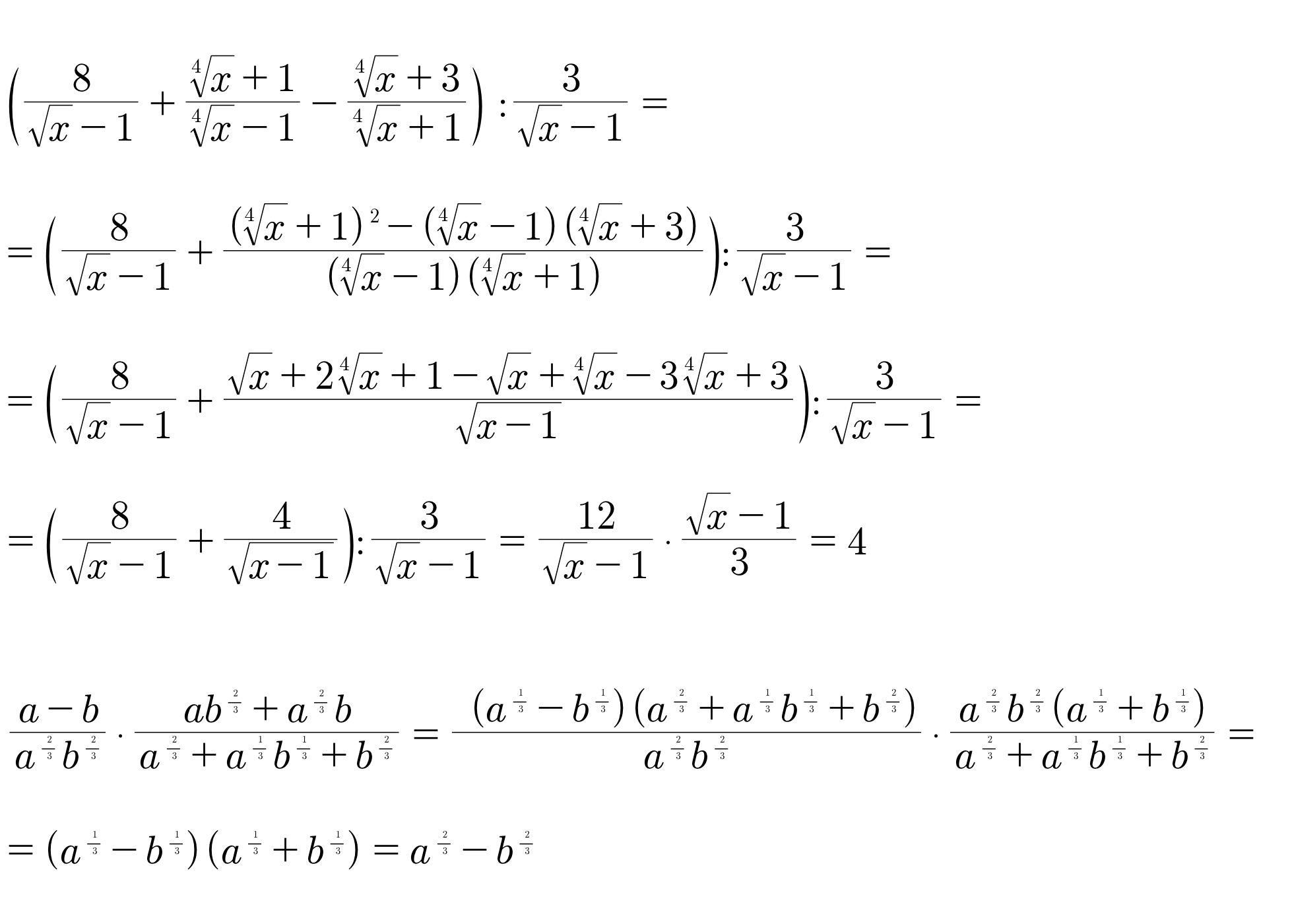
Упростите выражения:

Приложения:

Ответы

Ответ дал: tamarabernukho
2

Ответ:

Объяснение:

........................................................

Приложения:

legii155: благодарность тебе!!!!!
Вас заинтересует