• Предмет: Математика
  • Автор: friendswe086
  • Вопрос задан 3 года назад

Помогите пожалуйста ​

Приложения:

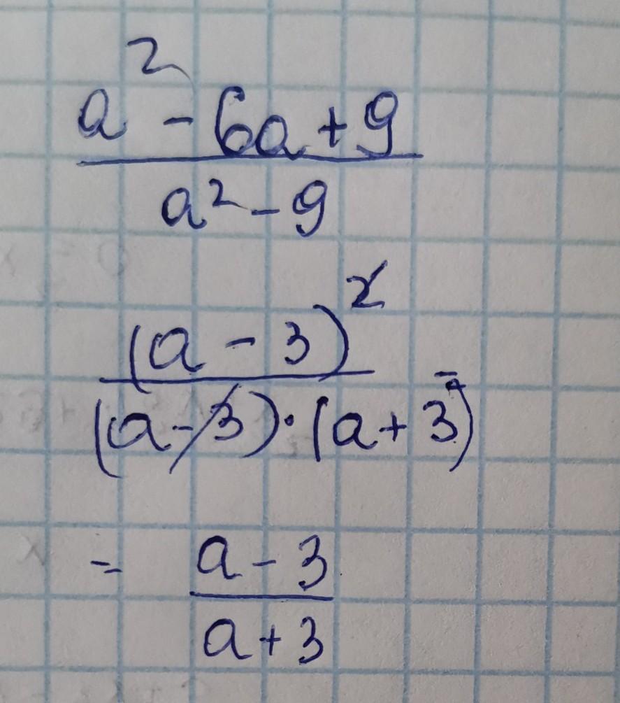
Ответы

Ответ дал: nelcan2017
0

Пошаговое объяснение:

Удачи и хорошего дня)))

Приложения:
Вас заинтересует