• Предмет: Математика
  • Автор: pestov8814
  • Вопрос задан 3 года назад

Решите пожалуйста те задания которые сможите

Приложения:

Ответы

Ответ дал: nnnnnnastya94
1
Вот щас ещё скину.......
Приложения:

nnnnnnastya94: =уравнение не имеет решение
Ответ дал: Miroslava227
1

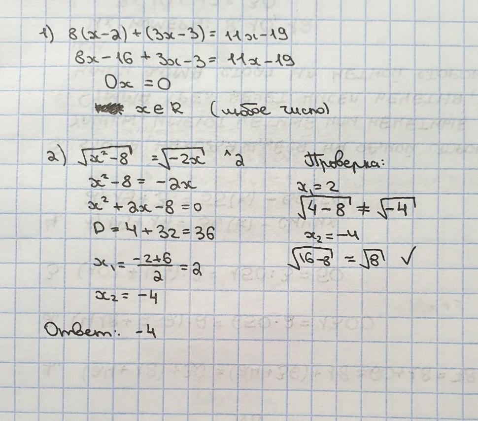
Ответ:

решение на фотографиях

Приложения:
Вас заинтересует