• Предмет: Алгебра
  • Автор: Аноним
  • Вопрос задан 3 года назад

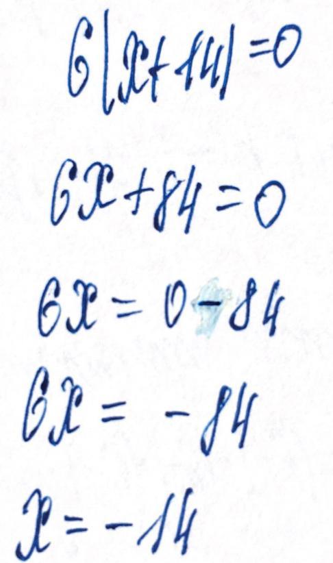
Реши уравнение 6(x+14)=0.

Ответ:
x=

Ответы

Ответ дал: vityamath
1

Ответ:

Объяснение:

6(x+14)=0

x+14=0

x= -14

Ответ дал: nataliy1234
0

Ответ и решение во вложении

Приложения:

vityamath: Вы просто умны, кидать нарушение на правильное решение...
Вас заинтересует