• Предмет: Алгебра
  • Автор: fmana2017
  • Вопрос задан 3 года назад

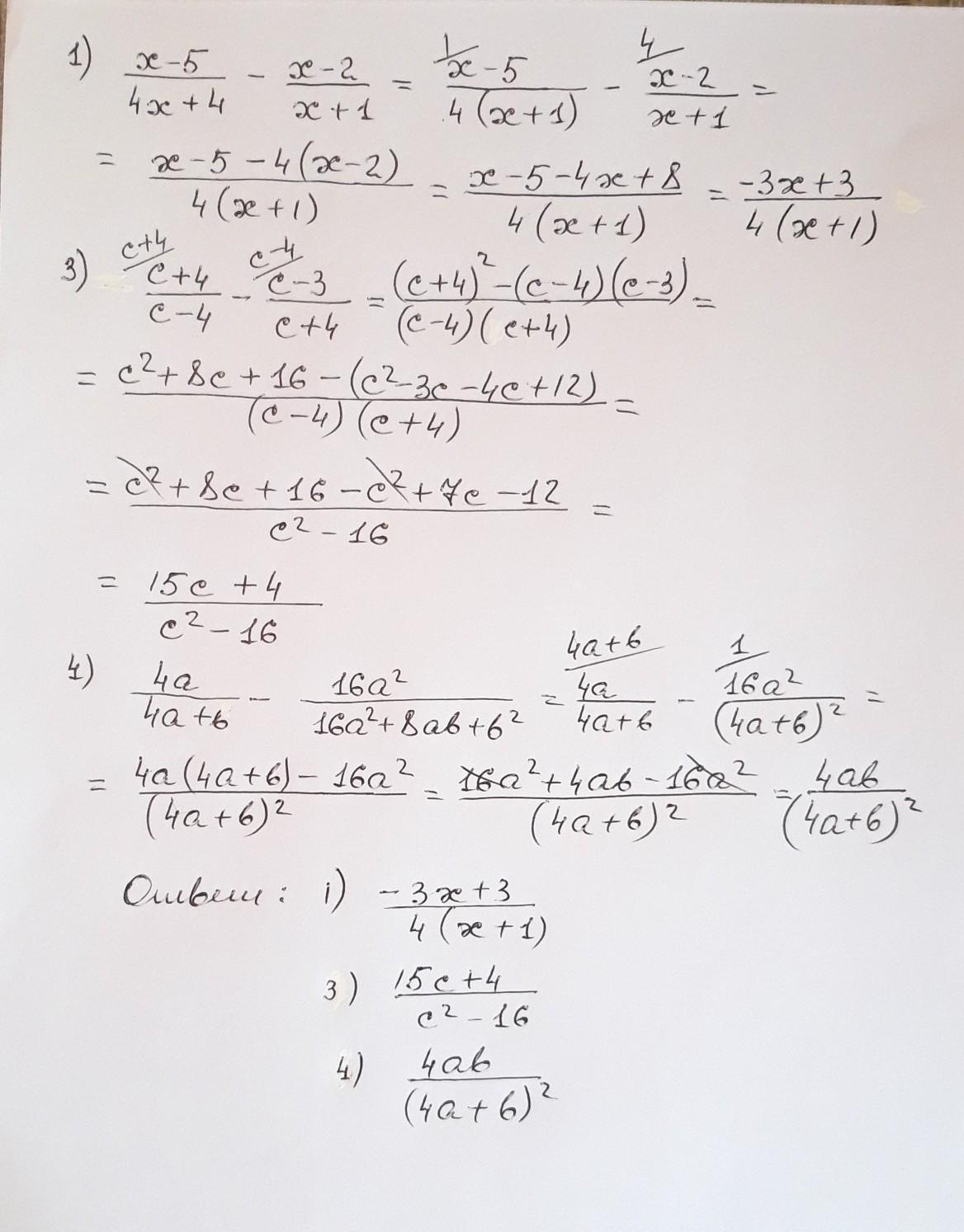
сложение и вычитание рациональных дробей с разными знаменателям

25 выполните действия

Приложения:

Ответы

Ответ дал: sharofat0
1

Ответ:

1)(-3х+3)/4(х+1)

3)(15с+4)/с^2-16

4)4аb/(4a+b)^2

Объяснение:

Прошу 3 мин. на загрузку.

Приложения:
Вас заинтересует