• Предмет: Математика
  • Автор: eee1337
  • Вопрос задан 3 года назад

ПОМОГИТЕ СРОНО ПО МАТЕМАТИКЕ​

Приложения:

Ответы

Ответ дал: bagdartur
0

Ответ:

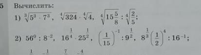
1)2, 6, 6.25

2)64, 10, 5, 2

Пошаговое объяснение:

1)если степень и корень одинакового уровня их можно убрать

получаеться 5-7=2, 324*4=1296 1296 в корне=36 36 в корне=6, корень 125/8:2/5

125*5=625 8*2=16

625/16:1/1=625/16 корень из 625/16=25/4=6.25

2)все что в 0 степени равно 1 а 8 в -2 степени=1/8/8=1/64

1/(1/64)=64, 16 в степени 1/4 равно корень из 16 в 4 степени это 2

корень из 25 в 2 степени равно 5

2*5=10

1/15 в -1 степени=15

9 в степени 1/2 равно 3

15:3=5

8^1/3=2 1/2^4=1/16

2*1/16=1/8

1/8:16^-1=1/8:1/16=2

Вас заинтересует