• Предмет: Алгебра
  • Автор: dasha6953
  • Вопрос задан 3 года назад

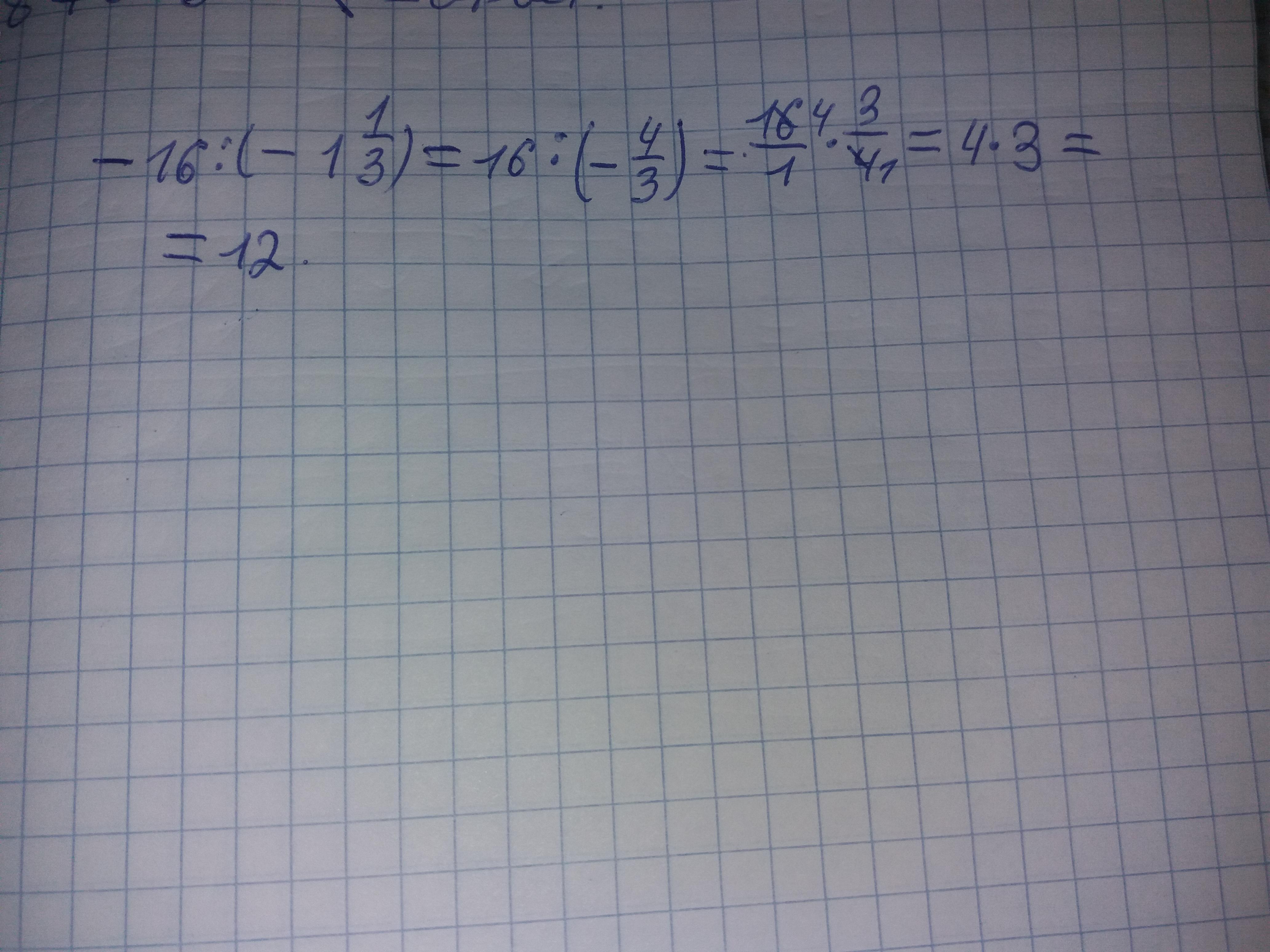
-16÷(-1 1/3)
Пожалуйста помогите





Bbjxsabj: это одиннадцать третьих?
dasha6953: нет это 1 целая 1/3

Ответы

Ответ дал: wwwfedorsolovev96
1

Я решил этот пример✔

⭐отметьте пожалуйста лучшим ⭐

Приложения:
Ответ дал: KudinaEkat
1

Ответ: 12

Объяснение:

16×3/4=12

Вас заинтересует