Ответы
Ответ дал:
2
Объяснение:
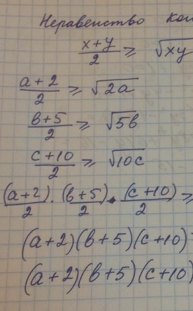
надеюсь всё понятно, просто не смогла больше сфоткать
Приложения:


Вас заинтересует
2 года назад
2 года назад
2 года назад
7 лет назад
7 лет назад
9 лет назад
9 лет назад