Помогите пожалуйста вычислить двойной интеграл по области D,ограниченной указанными линиями
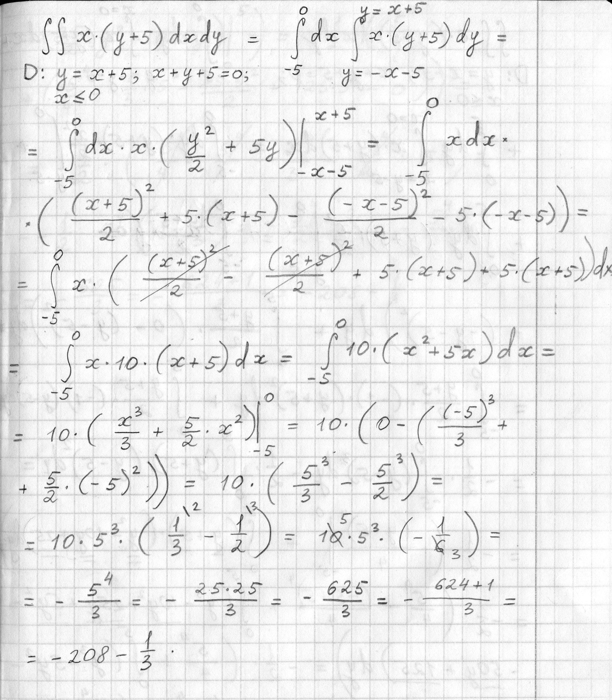
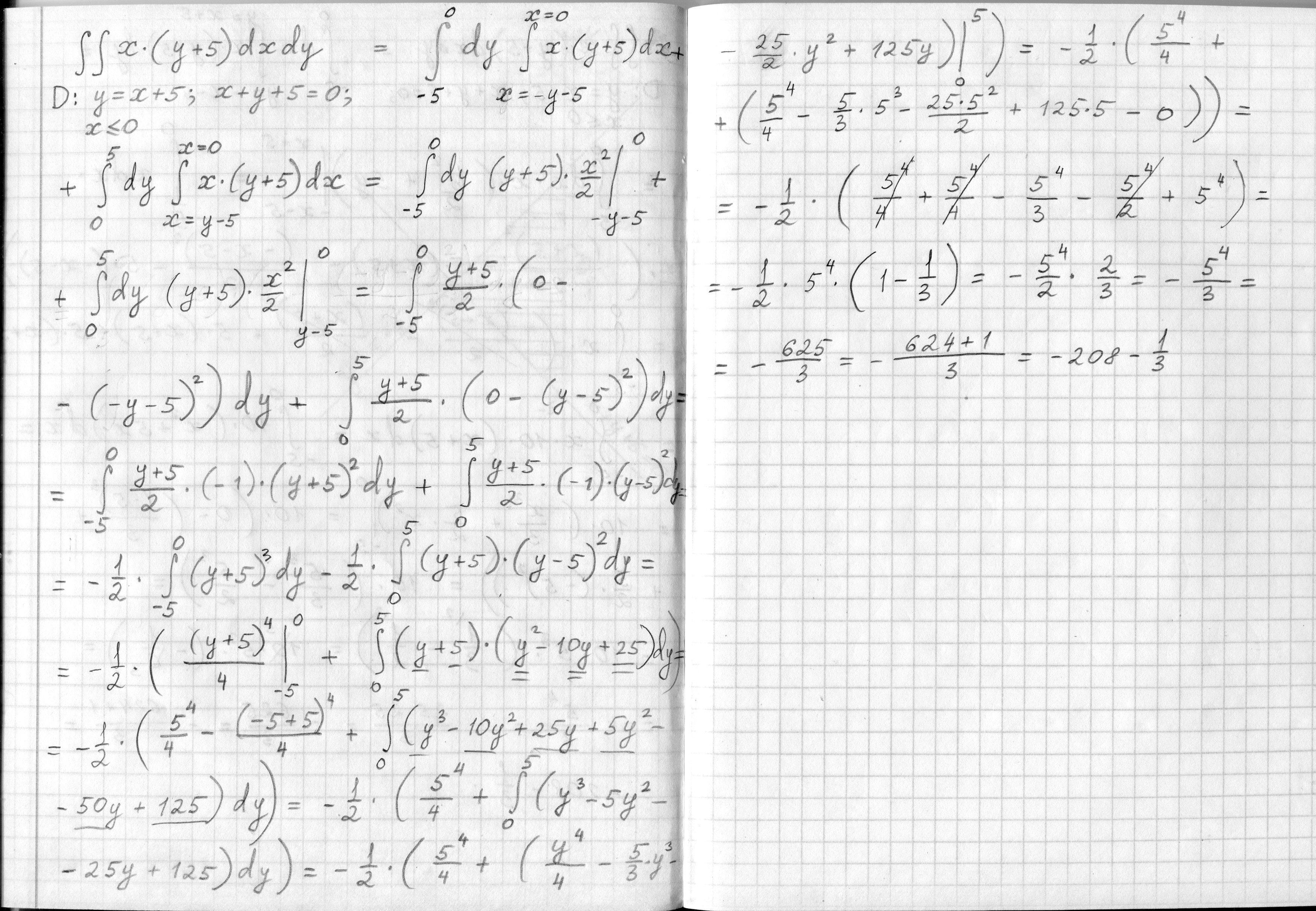
Двойной интеграл x(y+5)dxdy, D:y=x+5, x+y+5=0, x≤0
Ответы
Ответ дал:
1
я написал решение на трёх листках прикреплённых ===>>
Приложения:



Вас заинтересует
2 года назад
2 года назад
7 лет назад
7 лет назад
9 лет назад
9 лет назад