• Предмет: Алгебра
  • Автор: peekaboorv
  • Вопрос задан 3 года назад

помогите пожалуйста​

Приложения:

Ответы

Ответ дал: bazarbaikeldibaev
1

здесь двое решила одну фотку делать

Приложения:
Ответ дал: Удачник66
1

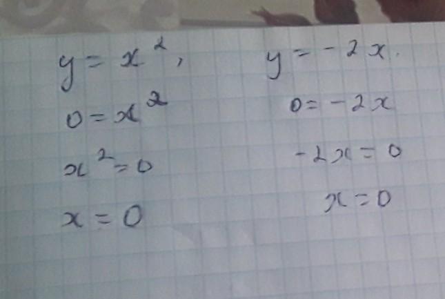
Ответ:

A(0;0); B(-2;4)

Объяснение:

Как я понимаю, нужно найти точки пересечения?

Приравняем правые части

x^2 = -2x

x^2 + 2x = 0

x(x+2) = 0

x1 = 0; y1 = x1^2 = 0

x2 = -2; y2 = (-2)^2 = 4

Вас заинтересует