• Предмет: Математика
  • Автор: anastasiaaleks1204
  • Вопрос задан 3 года назад

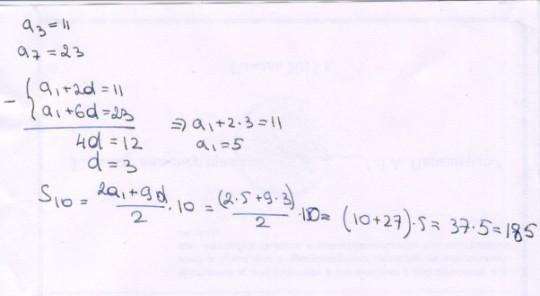
Третий и шестой члены арифметической прогрессии равны 11 и -4 соответственно. Сумма десяти первых членов арифметической прогрессии равна?

Ответы

Ответ дал: loc8903867
0

Ответ:

Пошаговое объяснение:

Приложения:
Вас заинтересует