• Предмет: Математика
  • Автор: Ruitachioleg
  • Вопрос задан 3 года назад

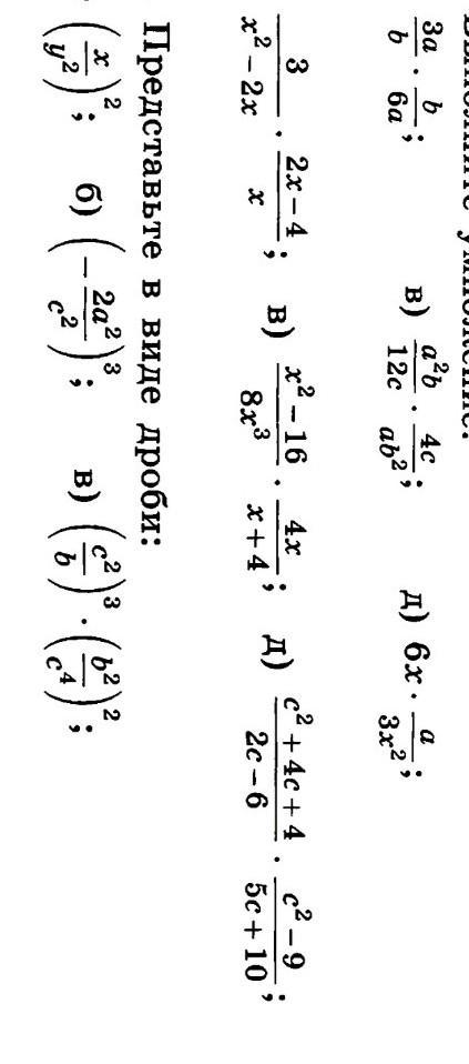
8 класс алгебра помогите решить пожалуйста

Приложения:

Ответы

Ответ дал: maksimstolar38
1
Тебе все? Делать или только последний?

maksimstolar38: Как тебе фото отправить?
Ruitachioleg: можно фотом можно и письменно, как захочешь
maksimstolar38: А как здесь фото скидывать, ато я не знаю
Ruitachioleg: фото отправить, там скрепка должна быть
maksimstolar38: У мене нету
maksimstolar38: Дай инсту или что
Ruitachioleg: там при ответе должна была быть скрепка
maksimstolar38: Может у меня еще не открылось
maksimstolar38: Я решил и сфоткал
maksimstolar38: А отправить не знаю как
Вас заинтересует