• Предмет: Алгебра
  • Автор: teamgirls
  • Вопрос задан 3 года назад

СРОЧНО РЕШИТЕ
ПОЖАЛУЙСТА ОЧЕНЬ НАДО!!!
НЕ НАДО СПАМИНЬ
АЛГЕБРА

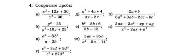
Приложения:

Ответы

Ответ дал: MatemaT123
1

Ответ:

\frac{x+6}{x-6};  \frac{y+5}{y-5};  a^{2}+2ab+4b^{2};  \frac{1}{c+3d};  \frac{a-2}{x};  \frac{b-2}{5};  \frac{5b}{a+2};  \frac{1}{3a-c};  \frac{2a-y}{x-a};

Объяснение:

\frac{(x+6)^{2}}{(x-6)(x+6)}=\frac{x+6}{x-6};

\frac{(y-5)(y+5)}{(y-5)^{2}}=\frac{y+5}{y-5};

\frac{(a-2b)(a^{2}+2ab+4b^{2})}{a-2b}=a^{2}+2ab+4b^{2};

\frac{c^{2}-3cd+9d^{2}}{(c+3d)(c^{2}-3cd+9d^{2})}=\frac{1}{c+3d};

\frac{(a-2)^{2}}{x(a-2)}=\frac{a-2}{x};

\frac{(b-2)(b-3)}{5(b-3)}=\frac{b-2}{5};

\frac{5b(a-7)}{(a-7)(a+2)}=\frac{5b}{a+2};

\frac{2a+b}{3a(2a+b)-c(2a+b)}=\frac{2a+b}{(3a-c)(2a+b)}=\frac{1}{3a-c};

\frac{2a(x-a)-y(x-a)}{(x-a)^{2}}=\frac{(2a-y)(x-a)}{(x-a)^{2}}=\frac{2a-y}{x-a};


teamgirls: СПАСИБООООООО
MatemaT123: Не за что)
Вас заинтересует