• Предмет: Алгебра
  • Автор: iliaderbenev
  • Вопрос задан 3 года назад

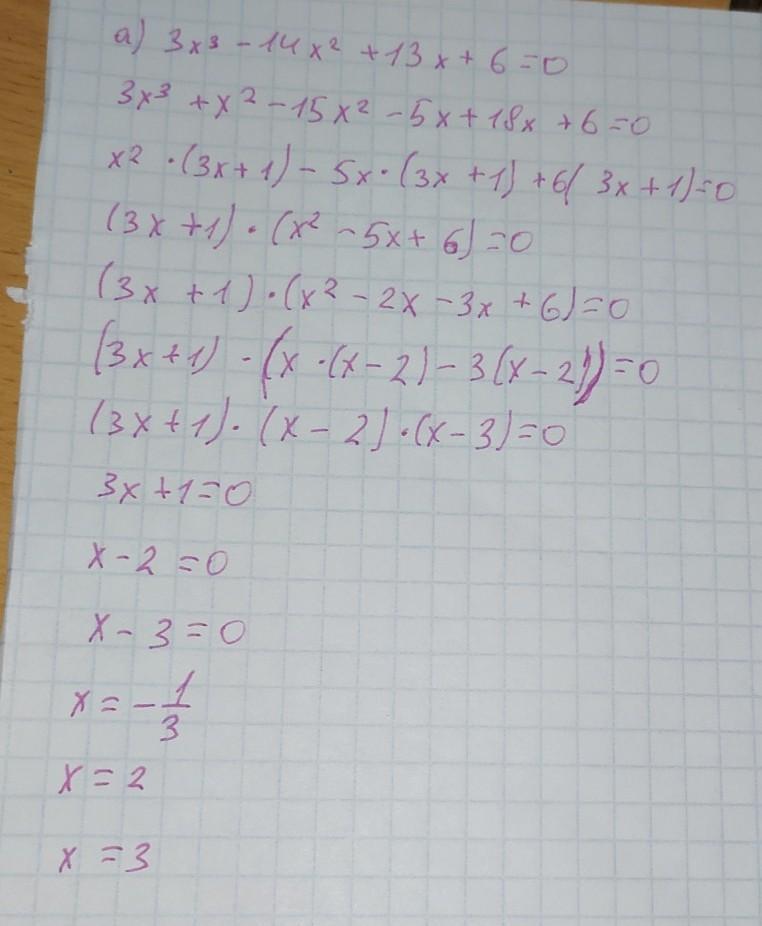
Нужна помощь с уравнениями ПЛЗ

Приложения:

arina23447: все эти уравнения?
iliaderbenev: да
arina23447: ща сделаю

Ответы

Ответ дал: igortsap1904
1

Объяснение:

вариант а и б

все верно 100%

Приложения:
Вас заинтересует