• Предмет: Алгебра
  • Автор: Аноним
  • Вопрос задан 3 года назад

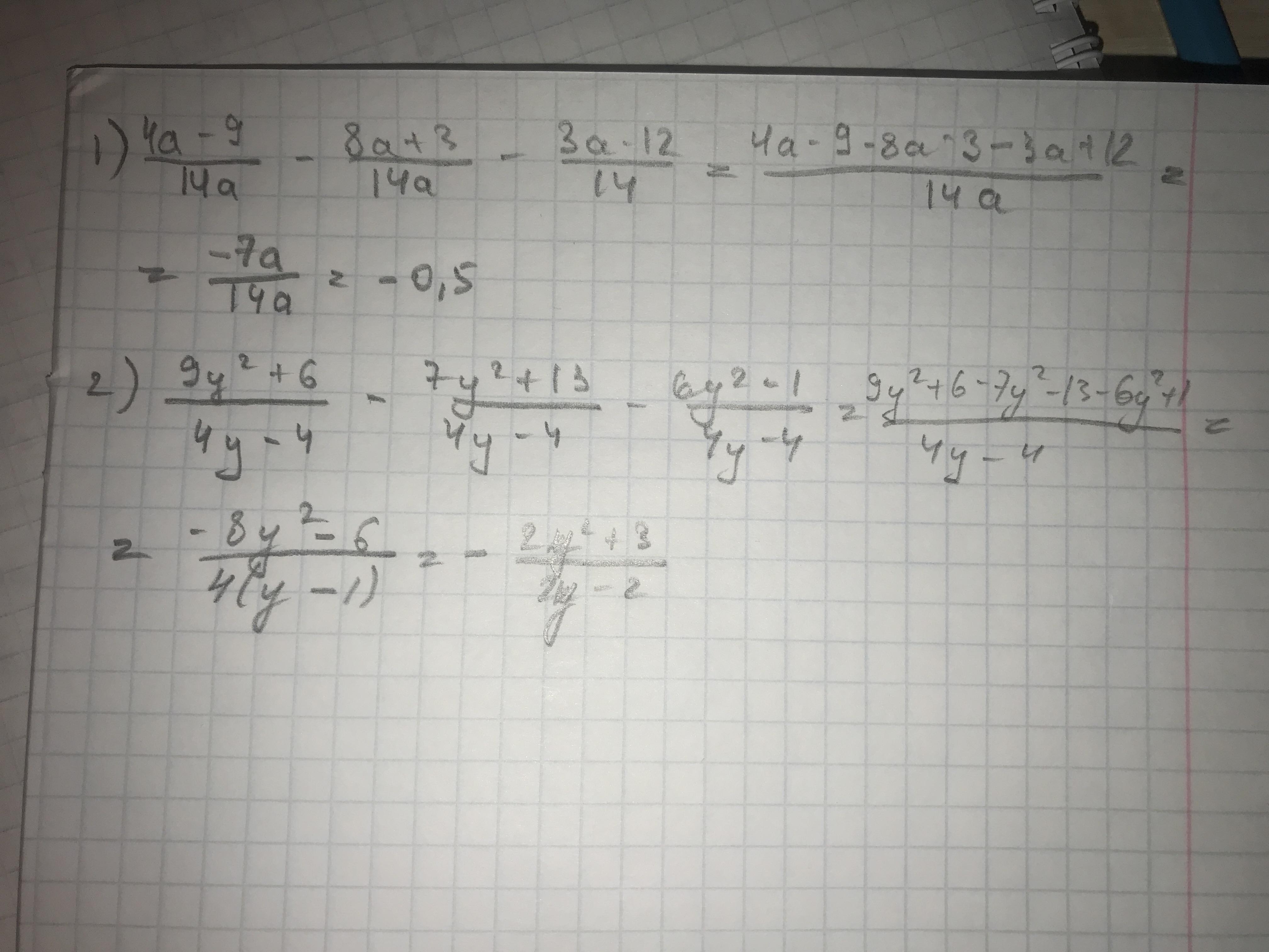
Помогите алгебра пожалуйста

Приложения:

Ответы

Ответ дал: nuralen1994
0

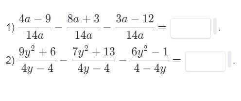
Ответ:

На данном фото представлено решегин

Объяснение:

Приложения:
Ответ дал: manyny06
0

Ответ:

решение смотри на фотографии

Объяснение:

Приложения:
Вас заинтересует