• Предмет: Алгебра
  • Автор: Аноним
  • Вопрос задан 3 года назад

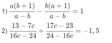
Помогите решить пожалуйста,докажите тождество

Приложения:

Ответы

Ответ дал: nuralen1994
0

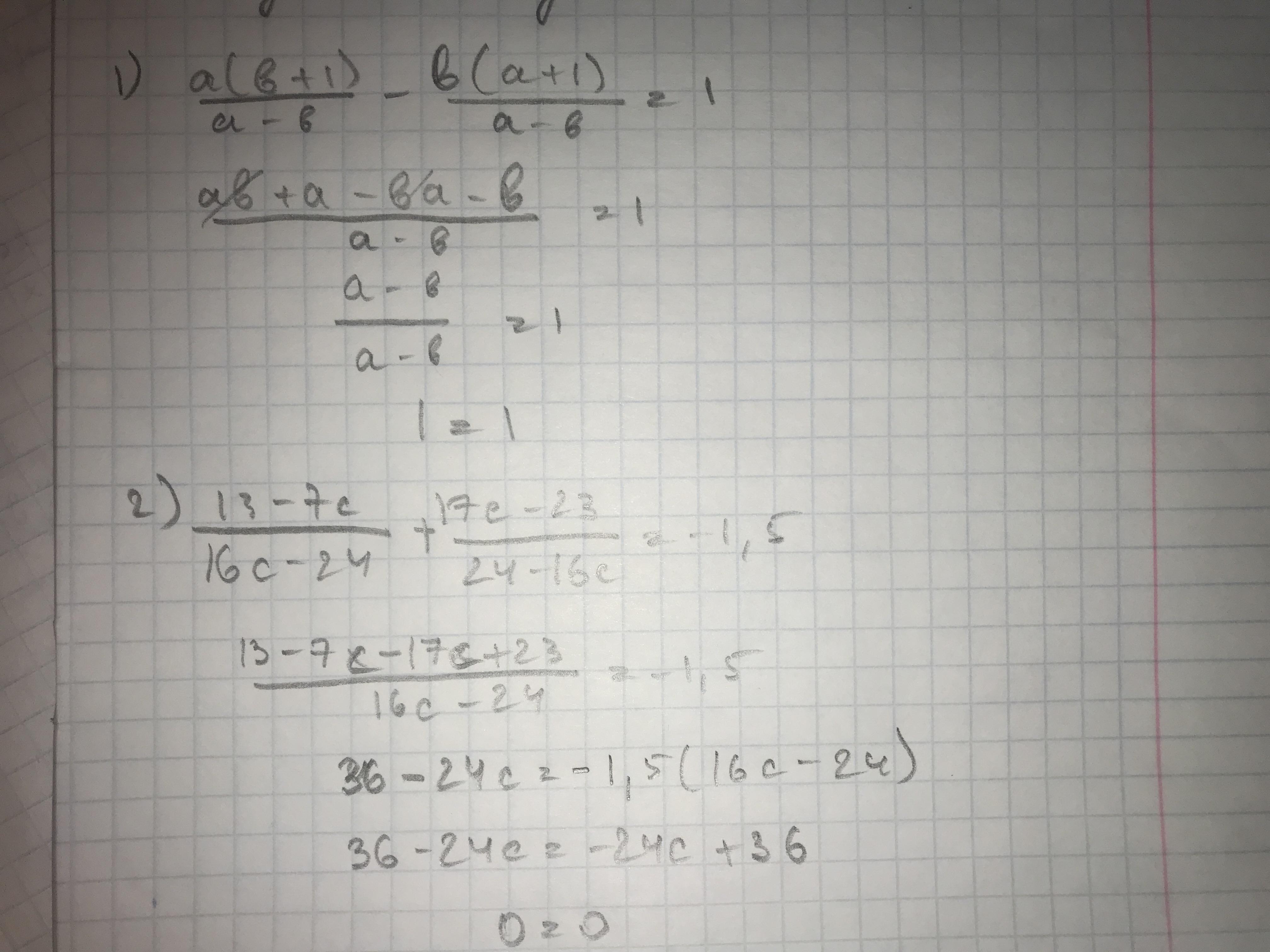
Ответ. На данном фото решение данного тождества

Объяснение:

Приложения:
Вас заинтересует