• Предмет: Математика
  • Автор: Alexsej123
  • Вопрос задан 3 года назад

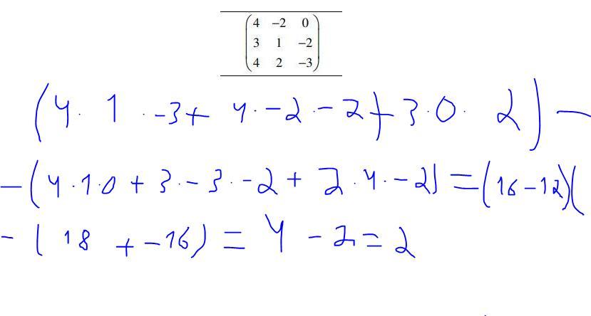
Посчитать определитель матрицы по правилу треугольника.

Приложения:

Ответы

Ответ дал: sergeypolumardenov
0

Ответ:

2

-54

Пошаговое объяснение:

на картинке

Приложения:
Вас заинтересует