• Предмет: Математика
  • Автор: ildarishe12
  • Вопрос задан 3 года назад

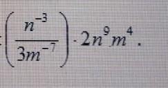
упростите выражение срочно пж​

Приложения:

Ответы

Ответ дал: kozbagarovaelmira
0

8m¹⁰n²/3

10101010010101010101010101010101010010101010

Вас заинтересует