• Предмет: Алгебра
  • Автор: zharkyntoleutaevich
  • Вопрос задан 3 года назад

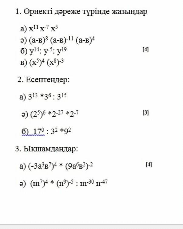
өрнекті дәреже түрінде жазындар​

Приложения:

sangers1959: Решить первое задание?
zharkyntoleutaevich: давай

Ответы

Ответ дал: sangers1959
5

Объяснение:

x^{11}*x^{-7}*x^5=x^{11-7+5}=x^9.\\(a-b)^8*(a-b)^{-11}*(a-b)^4=(a-b)^{8-11+4}=(a-b)^1=a-b.\\y^{14}:y^{-5}:y^{19}=y^{14}*y^5:y^{19}=y^{14+5}:y^{19}=y^{19}:y^{19}=1.\\(x^5)^4*(x^8)^{-3}=x^{5*4}*x^{8*(-3)}=x^{20}*x^{-24}=x^{20-24}=x^{-4}=\frac{1}{x^4}.


selfcare39: здравствуйте, помогите пожалуйста с алгеброй! задание у меня в профиле! отмечу 5 звёзд и сделаю лучший ответ!
Вас заинтересует