Ответы
Ответ дал:
1
Ответ:
сам сор делала такой же
Объяснение:
.
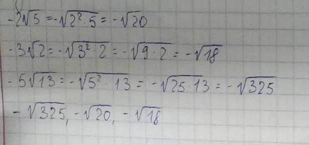
Приложения:

Аноним:
спасибо большое.
Вас заинтересует
2 года назад
2 года назад
7 лет назад
9 лет назад