• Предмет: Алгебра
  • Автор: tehno5049
  • Вопрос задан 3 года назад

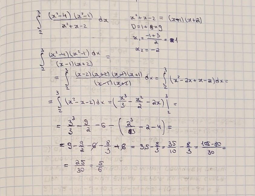
Вычислите определённый интеграл, предварительно упростив подынтегральное выражение.​

Приложения:

Ответы

Ответ дал: Miroslava227
1

Ответ:

решение на фотографии

Приложения:
Вас заинтересует