• Предмет: Математика
  • Автор: gkarmalika
  • Вопрос задан 3 года назад

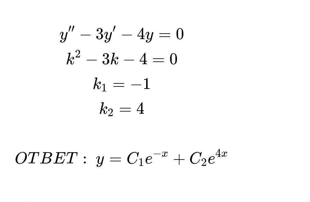
Помогите решить подробно дифференциальное уравнение
У"- 4у'+4=0

Ответы

Ответ дал: dalily33
0

Ответ:

вот ответ если не правильно то сори

Приложения:
Вас заинтересует