70 балов даю решите пожалуйста 2 задание и распешите
Приложения:

Danel070708:
ага
Ответы
Ответ дал:
0
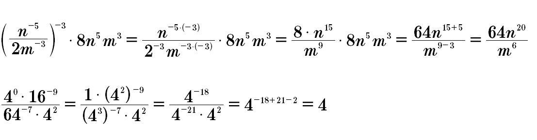
Ответ:
Объяснение:
.....................................................
Приложения:

Вас заинтересует
2 года назад
2 года назад
2 года назад
2 года назад
7 лет назад
7 лет назад
9 лет назад
9 лет назад