• Предмет: Алгебра
  • Автор: mustafa255
  • Вопрос задан 3 года назад

ПЖЖЖД ПОМОГИТЕЕ 10БАЛЛОВ​

Приложения:

Ответы

Ответ дал: lizapanzova2005
2

Ответ:

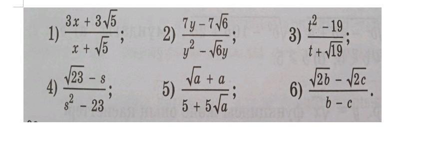
1)\;\;\frac{3x+3\sqrt{5} }{x+\sqrt{5}}=\frac{3(x+\sqrt{5})}{(x+\sqrt{5})}=3\\\\2)\;\;\frac{7y-7\sqrt{6} }{y^2-\sqrt{6}y}=\frac{7(y-\sqrt{6})}{y(y-\sqrt{6})}=\frac{7}{y} \\\\3)\;\frac{t^2-19}{t+\sqrt{19}}=\frac{(t+\sqrt{19})(t-\sqrt{19})}{(t+\sqrt{19})}=t-\sqrt{19} \\\\4)\;\;\frac{\sqrt{23}-s}{s^2-23}=-\frac{(s-\sqrt{23})}{(s+\sqrt{23})(s-\sqrt{23})}=-\frac{1}{s+\sqrt{23} } \\\\5)\;\;\frac{\sqrt{a}+a}{5+5\sqrt{a}}=\frac{\sqrt{a}+1}{5(\sqrt{a}+1)}=\frac{1}{5}=0.2\\

6)\;\;\frac{\sqrt{2b}-\sqrt{2c}}{b-c}=\frac{\sqrt{2}(\sqrt{b}-\sqrt{c})}{(\sqrt{b})^2-(\sqrt{c})^2}=\frac{\sqrt{2}(\sqrt{b}-\sqrt{c})}{(\sqrt{b}+\sqrt{c})(\sqrt{b}-\sqrt{c})}=\frac{\sqrt{2}}{\sqrt{b}+\sqrt{c}}


mustafa255: спасибо
lizapanzova2005: Не за что)
Вас заинтересует