• Предмет: Алгебра
  • Автор: musapirovalaila
  • Вопрос задан 3 года назад

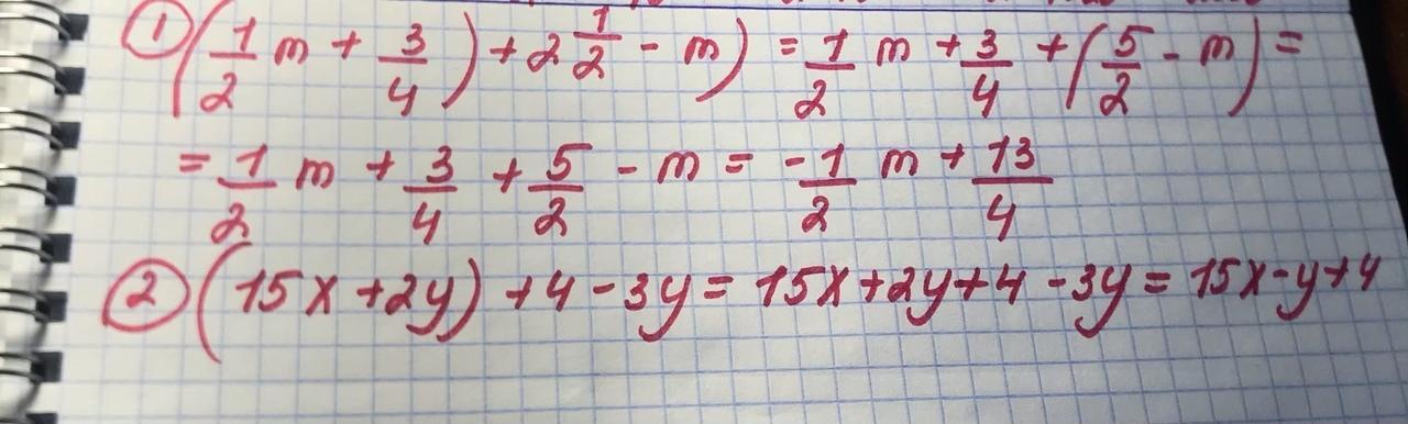
3)(1/2m+3/4)+(2 1/2-m)
5) (15x +2y) +4 - 3y);​

Ответы

Ответ дал: pomosh777m
2

Данный ответ представлен фотографией.

Приложения:
Вас заинтересует