• Предмет: Алгебра
  • Автор: SuperTrail
  • Вопрос задан 3 года назад

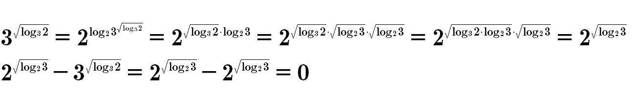
Докажите, что данное выражение равно нулю.
Данное вычисление нужно произвести над выражением номер 17-3​

Приложения:

Ответы

Ответ дал: tamarabernukho
0

Ответ:

Объяснение:

.......................................................

Приложения:
Вас заинтересует