• Предмет: Алгебра
  • Автор: varvara1008
  • Вопрос задан 3 года назад

Решите пожалуйста,очень нужно​

Приложения:

Ответы

Ответ дал: charlotte61
1

Ответ:

3,6

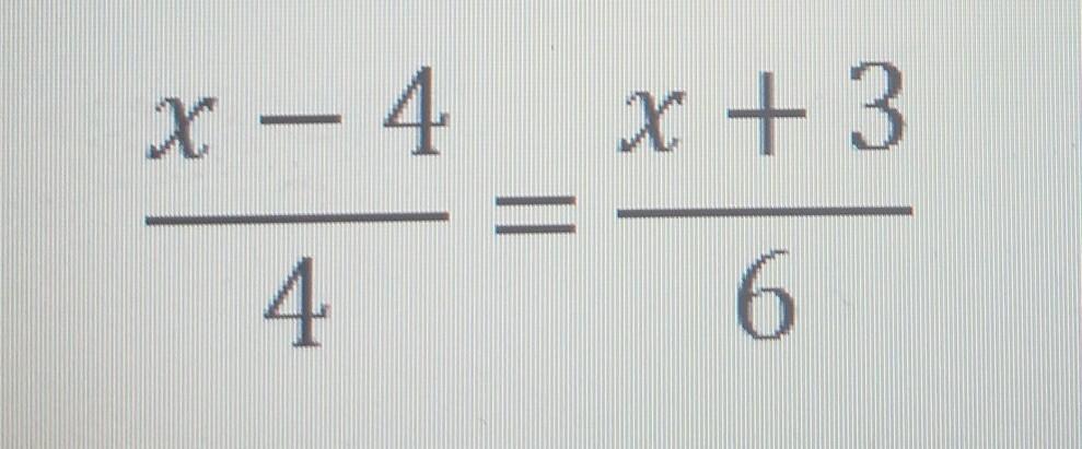
6x-24=4x+12

6x-4x=12+24

10x=36

x=3,6

вроде так

Вас заинтересует