знайти квадратний тричлен з цілими коефіціентами такими, щоб один з його коренів дорівнював 1 корінь з 3
помооогииитее 50 балов
tamarabernukho:
1+ корінь з 3 или 1- корінь з 3?
Ответы
Ответ дал:
3
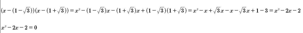
Ответ:
Объяснение:
.......................................................
Приложения:

Вас заинтересует
2 года назад
2 года назад
2 года назад
2 года назад
7 лет назад
7 лет назад
9 лет назад