Алгебра. Четвёртое задание.
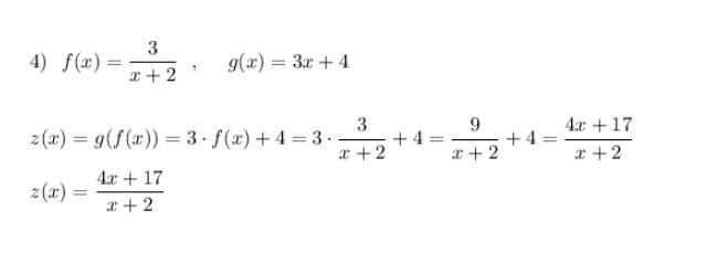
Напишите сложную функцию z(x), если

и


Подробное решение задания.
Приложения:
Ответы
Ответ дал:
1
....................................................................................................................
Приложения:
Вас заинтересует
2 года назад
2 года назад
2 года назад
2 года назад
8 лет назад