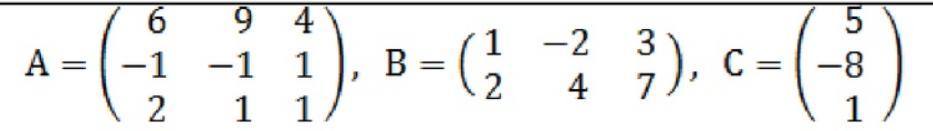
Даны матрицы A, B, C.
а) возможно ли произведения AB, BC? Если возможно, найти эти произведения; если невозможно, то дать объяснение;
б) найти обратную матрицу A^-1.
Приложения:

Ответы
Ответ дал:
0
Ответ:
A=23 B=0 C=0
Объяснение:
Кроме А 0 будеть
Вас заинтересует
2 года назад
2 года назад
2 года назад
2 года назад
7 лет назад
7 лет назад
9 лет назад