• Предмет: Алгебра
  • Автор: JonMacktavishsoapCOD
  • Вопрос задан 3 года назад

Помогите плиззззз
Найдите значение вырожения

Приложения:

Ответы

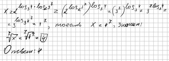
Ответ дал: Ilyazov45
0

Ответ:

4

Объяснение:

на фото

Приложения:
Вас заинтересует