• Предмет: Математика
  • Автор: friendswe086
  • Вопрос задан 3 года назад

Помогите пожалуйста прошу ​

Приложения:

Ответы

Ответ дал: parus77
0

Ответ:

Пошаговое объяснение:

решение  внизу

Приложения:
Ответ дал: kocherovdmitri
0

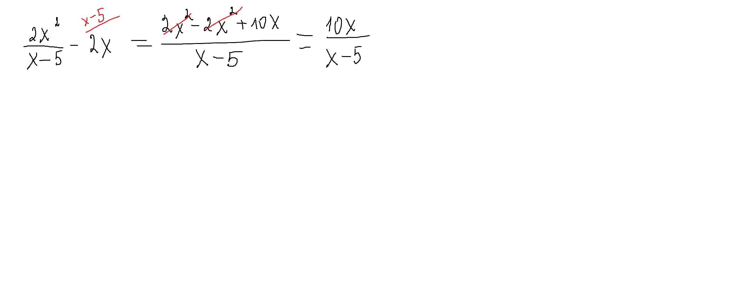
Ответ:

10x/x-5.

Пошаговое объяснение:

2x2-2x2+10/x-5.

Вас заинтересует