• Предмет: Алгебра
  • Автор: varvaria290
  • Вопрос задан 3 года назад

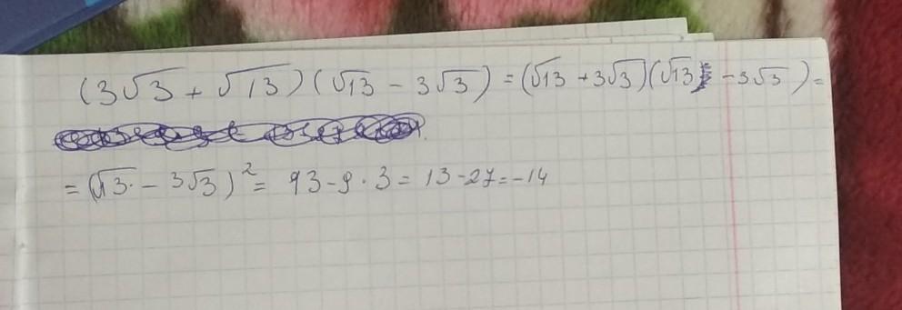
помогите пожалуйста ​

Приложения:

Ответы

Ответ дал: sona201
0

Ответ:-14

Объяснение: нужно перемножить по формуле(а-б) (а+б) =а²-б²

Корни сокращаются и получается

13-9•3=13-27=-14, из этого следует, что из заданного выражение получается целое число

Ответ дал: soniasofasof
0

Ответ:

минус 14

Объяснение:

на фото есть пошаговое решение

Приложения:
Вас заинтересует