• Предмет: Алгебра
  • Автор: vityamath
  • Вопрос задан 3 года назад

На стол упало 5 монет. Какова вероятность того, что выпадет 2 орла и 3 решки одновременно?


NaMiDa23: на баллы не претендую. просто кидаю ссылку :Р https://znanija.com/task/18654720
NaMiDa23: тут ответ)
Аноним: C(3;5) * p³ * q² = 10 * (1/2)⁵ = 0.3125

Ответы

Ответ дал: RayMiller
2

Объяснение:

Найдем количество всех исходов:

y=х^a, где х– количество исходов у одной монеты/кости; а– количество бросков (поочередно или сразу)

Подставим значения:

y=2⁵=32

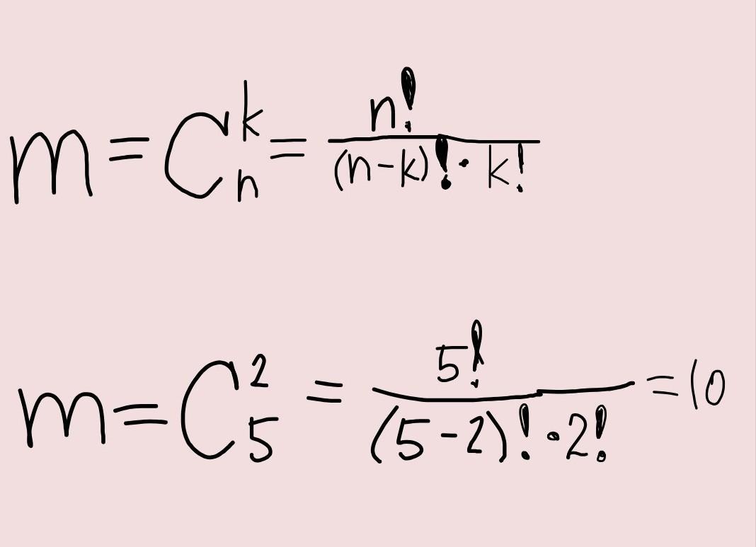
Найдем количество благоприятных исходов:

*фото*

где n – количество мест; k – количество обьектов

n=5 так как монет 5;

k=2 так как должно быть 2 орла;

p=m/y=10/32=0,3125

Ответ: 0,3125 (или иначе говоря 31,25%)

Приложения:
Вас заинтересует