• Предмет: Геометрия
  • Автор: kushurbai777
  • Вопрос задан 3 года назад

пж помогите дам 20 балов​

Приложения:

Ответы

Ответ дал: bassygarabahtiar
1

Ответ:

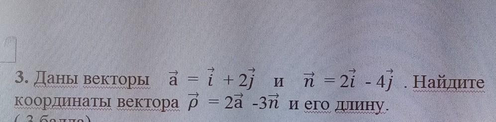
a(1;2), n(2:-4) p=2(1;2)-3(2;-4)=(2;4)-(6;-12)=(-4;-8)


kushurbai777: верно?
Вас заинтересует