• Предмет: Геометрия
  • Автор: geroinofaso
  • Вопрос задан 3 года назад

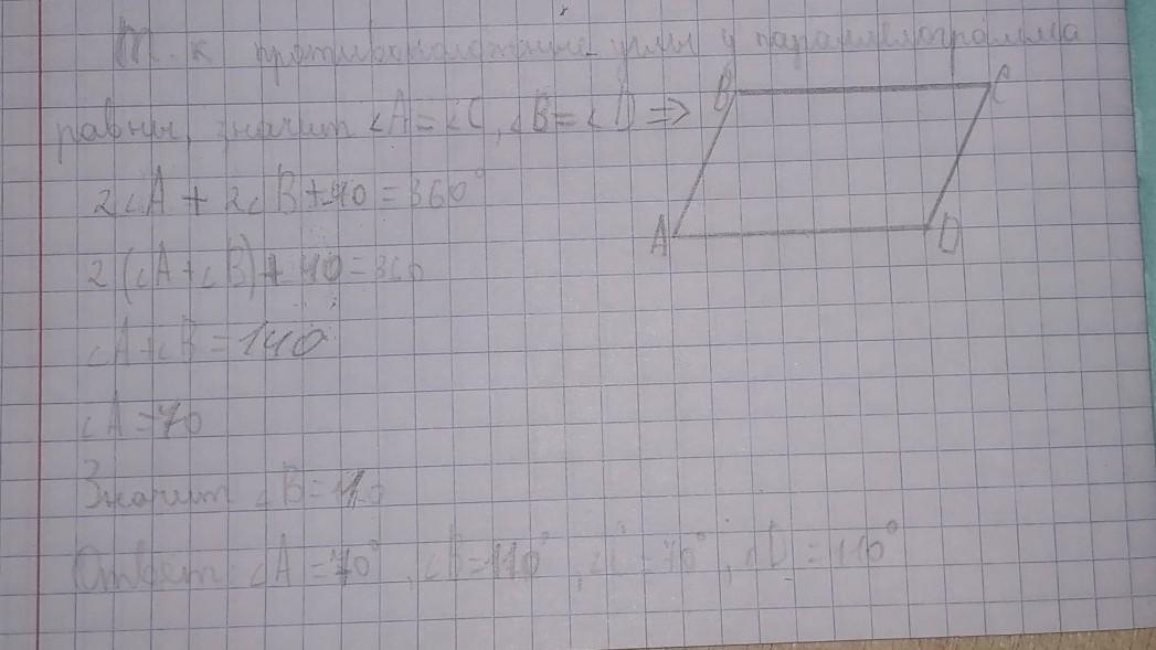
найдите все углы парелограмма если разность двух из них равна 40​

Ответы

Ответ дал: sergeypetrovich8498
0

Ответ:

вот так вау вот так вау вот так могу

Приложения:
Вас заинтересует