• Предмет: Физика
  • Автор: karina5682
  • Вопрос задан 3 года назад

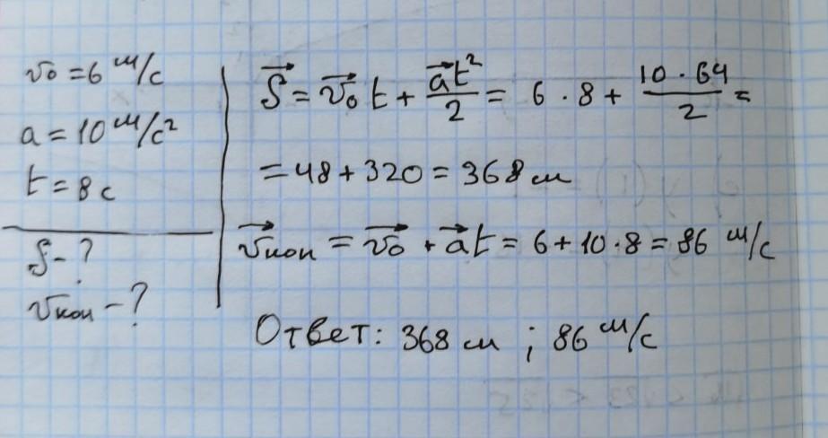
Тело движется с начальной скоростью 6 м/с и ускорением 10 м/с2. Определите скорость и перемещение тела через 8 секунд.​

Ответы

Ответ дал: romanforever14
1

Ответ:

368 м, 86 м/с

...........

Приложения:

karina5682: спасибо
Вас заинтересует