• Предмет: Алгебра
  • Автор: zomorqq
  • Вопрос задан 3 года назад

ПОМОГИТЕ!!! СРОЧНО 8 КЛАСС
Задания : выполнить действие, упростить выражение, построить график функции

Приложения:

Ответы

Ответ дал: lizapanzova2005
1

Ответ:

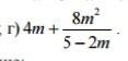
1)\;\;4m+\frac{8m^2}{5-2m}=\frac{8m^2+4m}{5-2m}=\frac{4m(2m+1)}{2(2.5-m)}=\frac{2m(2m+1)}{2.5-m} \\\\\\2)\;\;\frac{x^2-16x+12}{x^3+8}+\frac{3x+2}{x^2-2x+4}=\frac{x^2-16x+12+3x^2+6x+2x+4}{(x+2)(x^2-2x+4)}=\frac{4x^2-8x+16}{(x+2)(x^2-2x+4)}=\\\\=\frac{4(x^2-2x+4)}{(x+2)(x^2-2x+4)}=\frac{4}{x+2}

Приложения:

zomorqq: Спасибо))))))
lizapanzova2005: Не за что)))))
Вас заинтересует