• Предмет: Алгебра
  • Автор: Аноним
  • Вопрос задан 3 года назад

ПОМОГИТЕ ПОЖАЛУЙСТА ​

Приложения:

Ответы

Ответ дал: Аноним
1

Ответ: 2 7/9.

Объяснение:

а³⁰*в¹⁸ *а³⁵*в²⁰ : а⁶³*в³⁶.

а⁶⁵⁻⁶³ *в³⁸⁻³⁶=а²*в².

(-5/11)²*( 11/3)²=25/121*121/9=25/9=2 7/9.


Аноним: Спасибо огромное.
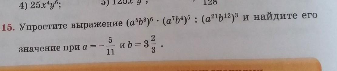
Вас заинтересует