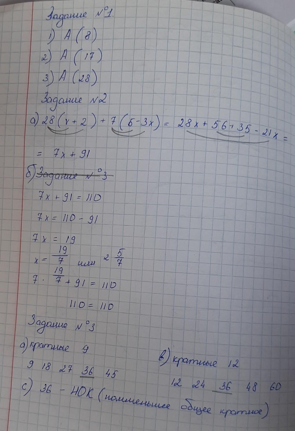
Используя чертеж, найдите и запишите координаты точки А
А( )________
А ( )_______
А ( )_____ (3б)
Задание 2
а) Упростите выражение: 28(х+2)+7(5-3х);
(2.б)
б) Используя результаты предыдущего действия, решите уравнение: 28(х+2)+7(5-3х)=110
(3б)
Задания 3
а) Запишите первые пять чисел кратных числу 9
в) Запишите первые пять чисел кратных числу 12
с) Среди этих чисел найдите наименьшее общее кратное чисел 9 и 12
(3б)
Задания 4.
а) Запишите все делители число 12
в) Запишите все делители числа 28
с) Среди этих чисел найдите наибольший делитель 12 и 28
(3б)
Задания 5.
Разложите число 160 на простые множители и запишите в виде степени.
(2б)
_____________________________________
Приложения:

rededre931:
СКИНЬТЕ ПОЖАЛУЙСТА ЭТО
Ответы
Ответ дал:
9
Ответ:
Если что - то непонятно, пиши
Приложения:


Вас заинтересует
2 года назад
7 лет назад
7 лет назад
9 лет назад