• Предмет: Алгебра
  • Автор: Yudil
  • Вопрос задан 3 года назад

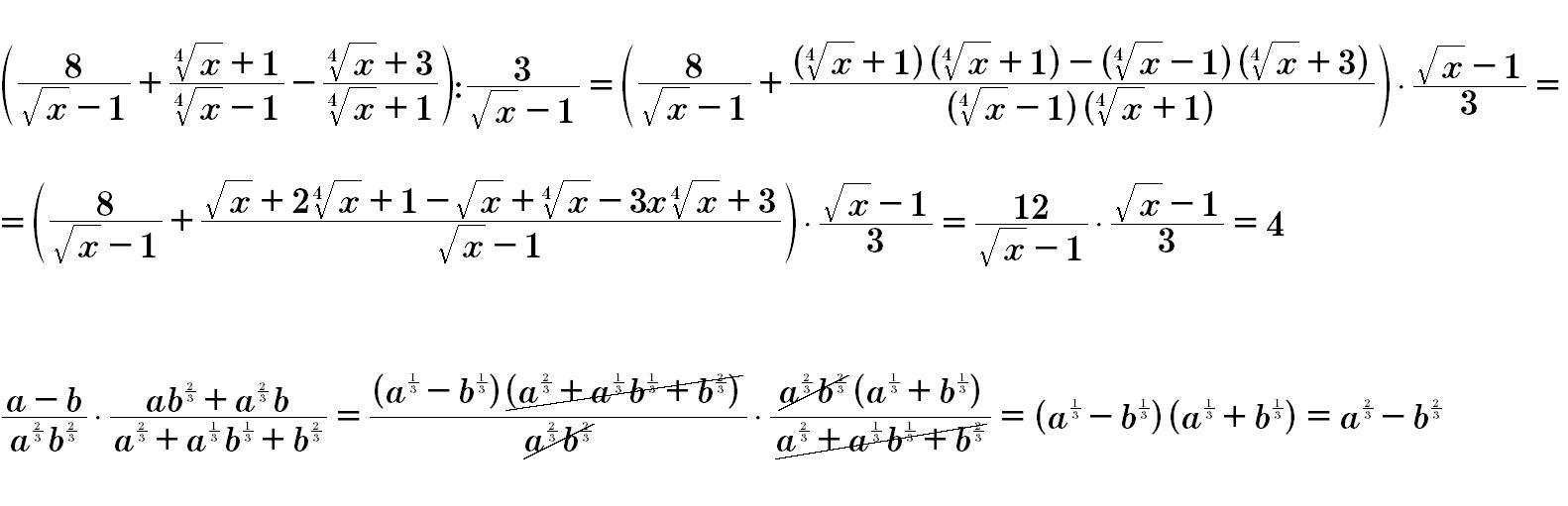
Упростите выражение:

Приложения:

Ответы

Ответ дал: tamarabernukho
1

Ответ:

Объяснение:

..............................................................................

Приложения:
Вас заинтересует