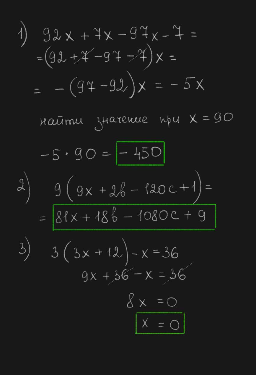
Упростить выражение, затем найди значение 92х+7х-97х-7, при =90
Раскройте скобки: 9×(9х+2b-120с+1)
Реши уравнение 3×(3х+12)-х=36
Помогите пожалуйста
Ответы
Ответ дал:
1
Ответ:
Решение
Пошаговое объяснение:
Указано в прикрепленном файле
Приложения:

AmAmAmAm65:
спасибо большое
Вас заинтересует
2 года назад
2 года назад
2 года назад
7 лет назад
7 лет назад
9 лет назад